近日,黄色影片
王国勇教授课题组在锂硫电池方面取得进展。相关研究成果以“Oxygen Dopants in MoS2 Catalysts as Dual Anchors for a Lithium Polysulfide Chain to Accelerate Conversion to Solid Li2S: A Strategy to Mitigate the Shuttle Effect in Li–S Batteries”为题,发表在《Nano Letters》杂志上。
硫作为正极材料具有高理论比容量,是当前商业化锂离子电池正极材料的近十倍,因此其在二次电池领域极具应用前景。然而硫与锂离子反应的初始产物是多硫化锂,其轨道结构与电解液具有相似性。这种结构相似性导致多硫化锂在电解液中呈现高溶解特性,致使正极材料发生溶解并脱离正极,最终引发电池容量的急剧衰减。
在此研究中,提出了一种对二硫化钼的氧掺杂调控策略,通过精确调控表面最优氧掺杂构型,实现掺杂氧原子间距与多硫化锂链中双锂原子的匹配性吸附。这种设计不仅能促使S-S键定向排列于催化剂表面,更可将长链分子锚定在催化剂表面,提升与催化剂的接触面积,从而加速多硫化锂分解。该策略同时有效抑制多硫化物的电解液扩散,使穿梭效应得到显著缓解。

图1 多硫化物在不同样品表面的吸附过程示意图
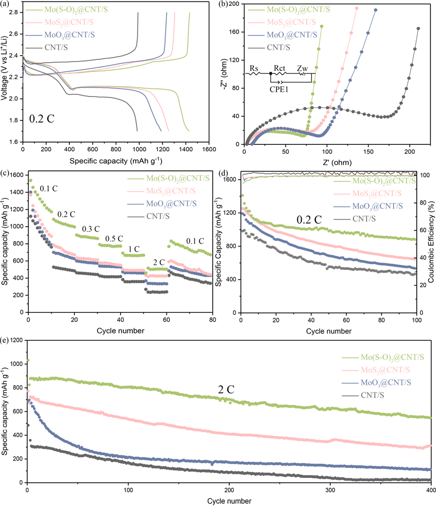
带负电荷的氧掺杂剂彼此间隔分布,确保多硫化锂链中带正电荷的锂离子两端都能被电极表面吸附。这维持了多硫化锂与电极之间的电传导,防止多硫化锂溶解并扩散到会发生副反应的对电极上。此外,具有催化活性的二硫化钼可以加速多硫化锂的转化并提升反应动力学性能。得益于此,组装的锂硫电池在0.2 C电流密度下初始容量达1410.4 mAh g-1,循环 100 次后容量保持率为 62.7%,在 2 C 的电流密度下初始容量为880.3 mAh g-1循环 400圈,每圈容量损失仅为 0.094%。

图2 Mo(S-O)2材料组装锂硫电池性能
黄色影片
博士生李春霖为本文第一作者,通讯作者为黄色影片
王国勇教授。该工作得到了国家重点研发计划项目,长春市科技发展重点研发计划项目,以及南京航空航天大学航空航天结构力学与控制国家重点实验室项目的大力支持。
论文详情:Li, C., Yu, X., Sun, L., Zhao, Z., Li, G., Yang, C. C., ... & Wang, G. (2025). Oxygen Dopants in MoS2 Catalysts as Dual Anchors for a Lithium Polysulfide Chain to Accelerate Conversion to Solid Li2S: A Strategy to Mitigate the Shuttle Effect in Li–S Batteries. Nano Letters.
论文链接://pubs.acs.org/doi/10.1021/acs.nanolett.4c05857